Skip to content Skip to sidebar Skip to footer

Widget HTML #1

How To Use Trapezoidal Rule - However, the difficulty level is a little bit higher than the first method (especially if you are new to excel).

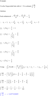
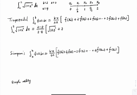
How To Use Trapezoidal Rule - However, the difficulty level is a little bit higher than the first method (especially if you are new to excel).. For example, in the sample workbook, we had the function y = 4*x^2; Numerical integration in excel using the composite simpson's rule calculating the area of a simple polygon using the shoelace algorithm page last updated: See full list on myengineeringworld.net Π ∫ 0 sin2xdx ≈ t 6 = δx 2 f (x0) +2f (x1) +⋯ + 2f (x5) +f (x6) = π 12 0+2⋅ 1 4 +2⋅ 3 4 + 2⋅1+ 2⋅ 3 4 +2⋅ 1 4 +0 = π 12 1 2 + 3 2 +2+ 3 2 + 1 2 = π 12 ⋅ 12 2 = π 2. About press copyright contact us creators advertise developers terms privacy policy & safety how youtube works test new features press copyright contact us creators.

As highlighted in the beginning, the trapezoidal rule is an approximate method to calculate the area under a curve/perform numerical integration. The corrected trapezoidal rule in general, i(f) t n(f) ˇ h2 12 f0(b) f0(a) i(f) ˇct n(f) := t n(f) h2 12 f0(b) f0(a) this is the corrected trapezoidal rule. A common complaint about excel is that it doesn't directly calculate a function's integral.if the function is represented as a curve in a chart, then the integral is defined as the (net signed) area under that curve. If you have to calculate the area under a curve, you must think of an indirect way to do it. How do we know that 972 is the right one?

Trapezoidal Rule
Trapezoidal Rule from image.slidesharecdn.com
As highlighted in the beginning, the trapezoidal rule is an approximate method to calculate the area under a curve/perform numerical integration. What is the formula for the base of a trapezoid? About press copyright contact us creators advertise developers terms privacy policy & safety how youtube works test new features press copyright contact us creators. The advantage of this custom function is that you don't need to worry about the input ranges.the code checks if the x and y values are (valid) ranges and if the x and y ranges are equal (for example, if the input is 10 x values and 10 y values). By using trapezoids (aka the trapezoid rule) we can get more accurate approximations than by using rectangles (aka riemann sums). Array1, array2… are the ran. T 6 = (δx/2) f (x 0 )+ 2f (x 1 )+ 2f (x 2 )+2f (x 3) + 2f (x 4 )+2f (x 5 )+ f (x 6 ) here the subinterval width δx = 1. Sumproduct(array1, array2, array3, …) the sumproduct function multiplies the corresponding components in the given arrays and returns the sum of these products.

However, the difficulty level is a little bit higher than the first method (especially if you are new to excel).

"the trapezoidal rule is a technique for approximating the definite integral: If we knew 901 points (step 0.01), the result would be around 972, which is the correct one. Now, substitute the values from the table, to find the approximate value of the area under the curve. Sumproduct(array1, array2, array3, …) the sumproduct function multiplies the corresponding components in the given arrays and returns the sum of these products. Array1, array2… are the ran. An example of the trapezoid rule let's check it out by using three trapezoids to approximate the area under the function on the interval. T 6 = (δx/2) f (x 0 )+ 2f (x 1 )+ 2f (x 2 )+2f (x 3) + 2f (x 4 )+2f (x 5 )+ f (x 6 ) here the subinterval width δx = 1. How do we know that 972 is the right one? It is easy to obtain from the trapezoidal rule, and in most cases, it converges more rapidly than the trapezoidal rule. If you have to calculate the area under a curve, you must think of an indirect way to do it. The trapezoidal rule formula is written in the form. By using trapezoids (aka the trapezoid rule) we can get more accurate approximations than by using rectangles (aka riemann sums). If something goes wrong, the function returns an error message instead of the value.

If we knew 901 points (step 0.01), the result would be around 972, which is the correct one. The more points you know, the more the trapezoids, so the better the approximation (for a specific range).if in the specific example we knew 20 points (step 0.5) instead of 10 (step 1), then the result with 3 methods would be 973.5. Unfortunately, this is not true! An example of the trapezoid rule let's check it out by using three trapezoids to approximate the area under the function on the interval. For the particular example, the curve was based on the function y = 4* x^2.

Trapezoid Rule For Estimating Integrals Expii
Trapezoid Rule For Estimating Integrals Expii from d20khd7ddkh5ls.cloudfront.net
Array1, array2… are the ran. The method involves the sumproduct function, the syntax of which is given below: The picture above contains the entire set of calculations. Sumproduct(array1, array2, array3, …) the sumproduct function multiplies the corresponding components in the given arrays and returns the sum of these products. See full list on myengineeringworld.net How do we know that 972 is the right one? By using trapezoids (aka the trapezoid rule) we can get more accurate approximations than by using rectangles (aka riemann sums). The more points you know, the more the trapezoids, so the better the approximation (for a specific range).if in the specific example we knew 20 points (step 0.5) instead of 10 (step 1), then the result with 3 methods would be 973.5.

What is the formula for trapezoid rule?

At your excel file, switch to vba editor (alt + f11), go to the menu insert module and add the following code lines. An example of the trapezoid rule let's check it out by using three trapezoids to approximate the area under the function on the interval. The accuracy of the trapezoidal rule is firmly related to the number of known curve points. How do we know that 972 is the right one? We knew 10 points, so we applied the formula 9 times. With this method, you avoid the intermediate calculations, and by using only one function, you get the result. About press copyright contact us creators advertise developers terms privacy policy & safety how youtube works test new features press copyright contact us creators. F (x5) = f ( 5π 6) = sin2 5π 6 = (1 2)2 = 1 4; `area=h/2(p+q)` we need right trapezoids (which means the parallel sides are at right angles to the base), and they are rotated 90° so that their new base is actually h , as follows, and h = δ x. Now, substitute the values from the table, to find the approximate value of the area under the curve. See full list on myengineeringworld.net F (x6) = f (π) = sin2π = 02 = 0. What is the formula for trapezoid rule?

F (x6) = f (π) = sin2π = 02 = 0. How do we know that 972 is the right one? "the trapezoidal rule is a technique for approximating the definite integral: What is the formula for the base of a trapezoid? As highlighted in the beginning, the trapezoidal rule is an approximate method to calculate the area under a curve/perform numerical integration.

The Trapezium Rule Mathematics A Level Revision
The Trapezium Rule Mathematics A Level Revision from revisionworld.com
A common complaint about excel is that it doesn't directly calculate a function's integral.if the function is represented as a curve in a chart, then the integral is defined as the (net signed) area under that curve. What is the formula for the base of a trapezoid? With this method, you avoid the intermediate calculations, and by using only one function, you get the result. You might believe that since the 3 methods agree on the final value, this is the correct one. What is the formula for trapezoid rule? "the trapezoidal rule is a technique for approximating the definite integral: Apr 04, 2018 · now, the area of a trapezoid (trapezium) is given by: Unfortunately, this is not true!

Sumproduct(array1, array2, array3, …) the sumproduct function multiplies the corresponding components in the given arrays and returns the sum of these products.

The advantage of this custom function is that you don't need to worry about the input ranges.the code checks if the x and y values are (valid) ranges and if the x and y ranges are equal (for example, if the input is 10 x values and 10 y values). Numerical integration in excel using the composite simpson's rule calculating the area of a simple polygon using the shoelace algorithm page last updated: "the trapezoidal rule is a technique for approximating the definite integral: Because of the way trapezoids hug the curve, they give you a much better area estimate than either left or right rectangles. See full list on myengineeringworld.net The corrected trapezoidal rule in general, i(f) t n(f) ˇ h2 12 f0(b) f0(a) i(f) ˇct n(f) := t n(f) h2 12 f0(b) f0(a) this is the corrected trapezoidal rule. However, the difficulty level is a little bit higher than the first method (especially if you are new to excel). As highlighted in the beginning, the trapezoidal rule is an approximate method to calculate the area under a curve/perform numerical integration. In the sample workbook, you will notice that, for the particular curve, all 3 different ways that were described above result in the same value (978). So, you only have to insert the input ranges in t. We knew 10 points, so we applied the formula 9 times. What is the formula for the base of a trapezoid? For the particular example, the curve was based on the function y = 4* x^2.